📄 Progressão aritmética
📄 Fórmula do termo geral de uma PA
📄 Soma dos n termos de uma PA
📄 Progressão geométrica
📄 Soma dos n primeiros termos de uma PG
📄 Soma dos termos de uma PG infinita
Sequências
Observe a sequência dos anos em foram realizadas Olimpíadas, a partir de 1996:
(1996, 2000, 2004, 2008, 2012, 2016...)
Os parênteses sugerem que estamos trabalhando com um conjunto de números colocados numa certa ordem. Esses elementos são chamados de termos da sequência. Costuma-se representar cada termo de uma sequência por uma letra qualquer, normalmente a, acompanhada de um índice que dá a sua posição ou ordem.
![]()
Por exemplo, na sequência (1996, 2000, 2004, 2008, ...), temos:
- primeiro termo =
= 1996; - segundo termo =
= 2000; - terceiro termo =
= 2004; - quarto termo =
= 2008; - ... (e assim sucessivamente).
O enésimo termo
pode representar qualquer termo da sequência. Por exemplo, se n = 50, temos
e estamos nos referindo ao 50º termo da sequência.
Definição de sequência
Matematicamente, denomina-se sequência qualquer função f cujo domínio é
.
Exemplo
definida por f(n) = 2n
Substituindo-se n pelos números naturais 1, 2, 3, ... temos:

Portanto, a sequência pode ser escrita como (2, 4, 6, ..., 2n, ...).
Observe que há uma lei de formação dos termos de uma sequência. A partir de agora, vamos estudar duas formas diferentes de definir uma sequência: pelo termo geral e por recorrência.
Sequência definida pelo termo geral
Cada termo
é calculado em função de sua posição n na sequência.
Exemplo
Os três primeiros termos da sequência cujo termo geral é
são:

Assim, a sequência que tem como termo geral
, é
.
Sequência definida por recorrência
Cada termo da sequência é calculado em função do termo anterior.
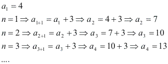
Exemplo
Na sequência definida por
em que
, cada termo, exceto o primeiro, é igual ao anterior adicionado a 3.
Portanto, a sequência pode ser escrita como (4, 7, 10, 13, ...).






























