📄 Domínio e imagem das funções inversas
📄 Gráficos das funções inversas
📄 Funções logarítmica e exponencial
📄 Logaritmos
📄 Funções logarítmicas
📄 Funções definidas explicitamente e implicitamente
📄 Diferenciação implícita
📄 Derivadas de potências racionais de x
📄 Derivadas de funções logarítmicas
📄 Diferenciação logarítmica
📄 Derivadas de funções exponenciais
📄 Derivadas das funções trigonométricas inversas
Derivadas de potências racionais de x
A partir da equação que segue, mostramos que a fórmula
![]()
é válida para todos os valores inteiros de n e
para n =
. Usaremos agora a diferenciação implícita para mostrar
que esta fórmula é válida para qualquer expoente racional. Mais precisamente,
mostraremos que se r for um número racional, então
![]()
sempre que
e
estiverem definidas. Por ora, admitiremos, sem prova que
é
diferenciável.
Seja y =
. Uma vez que r é um
número racional, pode ser expresso como uma razão de inteiros r = m/n.
Assim, y =
=
pode
ser escrito como
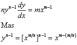
Diferenciando implicitamente em relação a x e
usando
, obtemos

Desta forma, pode ser escrito como

Exemplo
A partir de

Se u for uma função diferenciável de x
e r for um número racional, então a regra da cadeia dá lugar à
seguinte generalização de




























