Você está em Pratique > Só exercícios
Exercícios de Proporções
Resolva as seguintes proporções:
a)
b)
c)
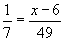
d) ![]()
e)
f) ![]()
g)
h) Sabendo que x + y = 42, determine x e y na proporção
.
i) Sabendo que a + b = 55, determine a e b na proporção
.
j) A soma da idade do pai e do filho é 45 anos. A idade do pai está para a idade do filho, assim como 7 está para 2. Determine a idade do pai e do filho.
Como referenciar: "Exercícios de Proporções" em Só Matemática. Virtuous Tecnologia da Informação, 1998-2020. Consultado em 02/09/2020 às 07:01. Disponível na Internet em https://www.somatematica.com.br:443/soexercicios/proporcoes.php































Produtos de quando CORONA era motivo de alegria
O sonho de ser cantor